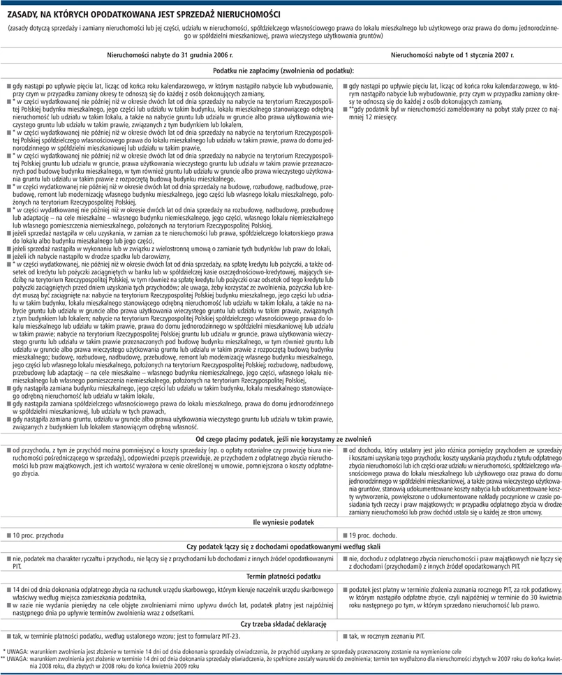
Każdy podatnik, który zamierza sprzedać mieszkanie, dom lub prawa majątkowe związane z nieruchomościami, powinien wiedzieć, że z każdą taką transakcją wiążą się określone obowiązki podatkowe. Jeśli bowiem transakcja dokonywana jest przed upływem pięciu lat od momentu nabycia nieruchomości, od uzyskanego dochodu trzeba będzie zapłacić 19-proc. podatek dochodowy od osób fizycznych. Podatnik może jednak nie płacić podatku i skorzystać z ulgi meldunkowej.
Od 1 stycznia 2007 r. przy sprzedaży nieruchomości można skorzystać ze specjalnego zwolnienia z podatku, zwanego potocznie ulgą meldunkową. Normalnie jest tak, że gdy sprzedajemy mieszkanie, dom lub inną nieruchomość, a także spółdzielcze prawa do domów i mieszkań przed upływem pięciu lat od ich nabycia lub wybudowania, musimy od takiej transakcji zapłacić podatek. Podatku można jednak uniknąć dzięki wspomnianej uldze meldunkowej. Aby nie zapłacić podatku od takiej transakcji, trzeba w zbywanym domu lub mieszkaniu zameldować się na minimum 12 miesięcy.

Ulga na nieruchomości nabyte w 2007 roku

Przepisy ustawy z 26 lipca 1991 r. o podatku dochodowym od osób fizycznych (t.j. Dz.U. z 2000 r. nr 14, poz. 176 z późn. zm.; dalej ustawa o PIT) przewidują, że wolne od podatku dochodowego są m.in. przychody uzyskane z odpłatnego zbycia:
• budynku mieszkalnego, jego części lub udziału w takim budynku,
• lokalu mieszkalnego stanowiącego odrębną nieruchomość lub udziału w takim lokalu,
• spółdzielczego własnościowego prawa do lokalu mieszkalnego lub udziału w takim prawie,
prawa do domu jednorodzinnego w spółdzielni mieszkaniowej lub udziału w takim prawie,
- jeżeli podatnik był zameldowany w budynku lub lokalu na pobyt stały przez okres nie krótszy niż 12 miesięcy przed datą zbycia. Zatem, aby skorzystać z nowej ulgi podatkowej, należy zameldować się w zbywanym mieszkaniu lub domu na minimum 12 miesięcy przed datą zbycia. Spełnienie tego warunku pozwoli uniknąć podatku dochodowego przy transakcjach nieruchomościami.
Co ważne, ulga meldunkowa stosowana jest tylko w przypadku zbycia takich nieruchomości i praw, które stały się naszą własnością nie wcześniej niż 1 stycznia 2007 r. Nie ma przy tym znaczenia, czy taka nabyta po 1 stycznia 2007 r. nieruchomość stała się naszą własnością w wyniku kupna, darowizny czy też np. wykupienia nieruchomości od gminy, zakładu pracy czy spółdzielni. Ważna jest data, w której staliśmy się właścicielami nieruchomości lub prawa. Z ustaleniem tej daty nie powinno zresztą być zbyt dużych kłopotów. Każda transakcja dotycząca nieruchomości powinna być zawarta w formie aktu notarialnego. Inaczej jest nieważna, co oznacza, że np. darowizna nieruchomości bez podpisania jej w formie aktu notarialnego jest nieważna, a więc mimo złożonego przez darczyńcę oświadczenia nieruchomość taka nadal pozostaje jego własnością. Data nabycia będzie zatem wynikała bezpośrednio z treści aktu notarialnego.

Od sprzedaży nieruchomości płaci się PIT

Ulga meldunkowa ma znaczenie o tyle, że pozwala uniknąć podatku od dochodu ze sprzedaży nieruchomości i praw związanych z nieruchomościami nabytymi lub wybudowanymi po 1 stycznia 2007 r. Na wstępie zobaczmy zatem, o jakiego rodzaju zbycie chodzi.
Otóż źródłami przychodów podlegającymi opodatkowaniu PIT jest m.in. odpłatne zbycie:
• nieruchomości lub ich części oraz udziału w nieruchomości,
• spółdzielczego własnościowego prawa do lokalu mieszkalnego lub użytkowego oraz prawa do domu jednorodzinnego w spółdzielni mieszkaniowej,
• prawa wieczystego użytkowania gruntów,
• innych rzeczy,
- jeżeli odpłatne zbycie nie następuje w wykonaniu działalności gospodarczej i zostało dokonane w przypadku odpłatnego zbycia nieruchomości i praw majątkowych określonych przed upływem pięciu lat, licząc od końca roku kalendarzowego, w którym nastąpiło nabycie lub wybudowanie, a innych rzeczy - przed upływem pół roku, licząc od końca miesiąca, w którym nastąpiło nabycie; w przypadku zamiany okresy te odnoszą się do każdej z osób dokonującej zamiany.
Co ważne, dochodu z odpłatnego zbycia nieruchomości i praw majątkowych nie łączy się z dochodami (przychodami) z innych źródeł. Są one opodatkowane odrębnie, mimo że w przypadku dochodu ze sprzedaży nieruchomości nabytych po 1 stycznia 2007 r. podatek ten wykazuje się w tym samym zeznaniu rocznym co inne dochody. Jednak podatek wyliczany jest odrębnie.
Nie zawsze jednak podatek zapłacimy.

Podatek wynosi 19 proc. dochodu

Od dochodu z odpłatnego zbycia nieruchomości i praw majątkowych związanych z tymi nieruchomościami podatek dochodowy wynosi 19 proc. podstawy obliczenia podatku, jeżeli dotyczy to nieruchomości wybudowanych lub nabytych od 1 stycznia 2007 r. Podstawą opodatkowania jest w tym przypadku dochód. Ten zaś stanowi różnicę między uzyskanym w wyniku zbycia nieruchomości lub prawa przychodem (uzyskaną ceną) a kosztami uzyskania tego przychodu (tym, co wydano wcześniej, aby nieruchomość lub prawo nabyć lub wybudować, po powiększeniu o ewentualne koszty sprzedaży, np. wynagrodzenie pośrednika i opłaty notarialne). Sam podatek jest płatny w terminie złożenia zeznania podatkowego za rok podatkowy, w którym nastąpiło odpłatne zbycie, z tym że zasady nie mają zastosowania, jeżeli:
• budowa i sprzedaż budynków mieszkalnych lub lokali mieszkalnych oraz sprzedaż gruntów i prawa wieczystego użytkowania gruntów są przedmiotem działalności gospodarczej podatnika,
• przychód ze sprzedaży nieruchomości i praw stanowi przychód z działalności gospodarczej lub z działów specjalnych produkcji rolnej.
Jednak zasady opodatkowania sprzedaży nieruchomości i związanych z nimi praw majątkowych mają zastosowanie do odpłatnego zbycia wykorzystywanych na potrzeby związane z działalnością gospodarczą oraz przy prowadzeniu działów specjalnych produkcji rolnej: budynku mieszkalnego, jego części lub udziału w takim budynku, lokalu mieszkalnego stanowiącego odrębną nieruchomość lub udziału w takim lokalu, gruntu lub udziału w gruncie albo prawa użytkowania wieczystego gruntu lub udziału w takim prawie, związanych z tym budynkiem lub lokalem, spółdzielczego własnościowego prawa do lokalu mieszkalnego lub udziału w takim prawie oraz prawa do domu jednorodzinnego w spółdzielni mieszkaniowej lub udziału w takim prawie.
Do przychodu (dochodu) z odpłatnego zbycia nieruchomości i praw majątkowych nabytych lub wybudowanych (oddanych do użytkowania) do 31 grudnia 2006 r. stosuje się zasady określone w ustawie o PIT w brzmieniu obowiązującym przed 1 stycznia 2007 r. Oznacza to, że trzeba zapłacić w przypadku takich nieruchomości 10-proc. podatek zryczałtowany liczony od przychodu (uzyskanej ceny), bez prawa pomniejszania tego przychodu o koszty. Jeżeli zatem kupiliśmy np. dom za 200 tys. zł w grudniu 2006 r., a sprzedajemy go w czerwcu 2008 r. za 300 tys. zł, podatek zapłacimy nie od 100 tys. zł (tyle wynosi dochód ze sprzedaży), ale od 300 tys. zł. Podatek ten według stawki 10-proc. wyniesie 30 tys. zł. Gdyby ten sam dom został kupiony w styczniu 2007 r., podatek trzeba byłoby zapłacić według wyższej stawki, ale od niższej podstawy. Podatek byłby bowiem naliczany od 100 tys. zł, tyle bowiem wyniósł zysk na transakcji. Przychód to 300 tys. zł. Koszty nabycia to 200 tys. zł. Jeżeli podatnik nie ponosi żadnych dodatkowych kosztów, dochód wyniesie zatem 100 tys. zł. Podatek naliczony od tego dochodu według stawki 19 proc. wyniesie zatem 19 tys. zł. Jednak i tego podatku można by uniknąć dzięki uldze meldunkowej.
PODSTAWA OPODATKOWANIA PRZY ZBYCIU NIERUCHOMOŚCI
Podstawą obliczenia podatku dochodowego przy sprzedaży nabytych po 1 stycznia 2007 r. nieruchomości i prawa do nieruchomości zbywanych przed upływem pięciu lat od nabycia lub wybudowania jest dochód stanowiący różnicę pomiędzy przychodem z odpłatnego zbycia nieruchomości lub praw a kosztami uzyskania przychodów, powiększoną o sumę odpisów amortyzacyjnych, dokonanych od zbywanych nieruchomości lub praw.
W przypadku odpłatnego zbycia takich nieruchomości lub praw w drodze zamiany dochód ustala się dla każdej ze stron umowy na innych zasadach.

Wydatki nie tylko na nabycie

Przypomnijmy, że przy sprzedaży nieruchomości i praw nabytych po 1 stycznia 2007 r. podatek płaci się od dochodu i można uwzględnić koszty uzyskania przychodów. Ustawa o PIT przewiduje, że koszty uzyskania przychodu z tytułu odpłatnego zbycia nieruchomości i praw majątkowych stanowią udokumentowane koszty nabycia lub udokumentowane koszty wytworzenia powiększone o udokumentowane nakłady, które zwiększyły wartość rzeczy i praw majątkowych, poczynione w czasie ich posiadania.
Za koszty uzyskania przychodu z tytułu odpłatnego zbycia nieruchomości nabytych w drodze spadku, darowizny lub w inny nieodpłatny sposób, uważa się udokumentowane nakłady, które zwiększyły wartość rzeczy i praw majątkowych, poczynione w czasie ich posiadania, oraz kwotę zapłaconego podatku od spadków i darowizn w takiej części, w jakiej wartość zbywanej rzeczy lub prawa przyjęta do opodatkowania podatkiem od spadków i darowizn odpowiada łącznej wartości rzeczy i praw majątkowych przyjętej do opodatkowania podatkiem od spadków i darowizn.
Zwróćmy uwagę na to, że wolno nam uwzględniać tylko takie wydatki, które możemy udokumentować. Jeśli zatem na jakiś wydatek nie posiadamy faktury lub innego dowodu, że został on poniesiony i dotyczył tej konkretnie nieruchomości, nie będziemy mogli go uwzględnić przy wyliczaniu dochodu do opodatkowania.
Co istotne, koszty nabycia lub koszty wytworzenia są corocznie podwyższane, począwszy od roku następującego po roku, w którym nastąpiło nabycie lub wytworzenie zbywanych rzeczy lub praw majątkowych, do roku poprzedzającego rok podatkowy, w którym nastąpiło ich zbycie, w stopniu odpowiadającym wskaźnikowi wzrostu cen towarów i usług konsumpcyjnych w okresie pierwszych trzech kwartałów roku podatkowego w stosunku do tego samego okresu roku ubiegłego, ogłaszanemu przez prezesa Głównego Urzędu Statystycznego w Monitorze Polskim.
Jak ustalić wysokość nakładów
Wysokość nakładów poniesionych na nieruchomość nabytą po 1 stycznia 2007 r. ustala się na podstawie faktur VAT w rozumieniu przepisów o podatku od towarów i usług oraz dokumentów stwierdzających poniesienie opłat administracyjnych

Trzeba zameldować się na pobyt stały

Aby skorzystać z ulgi meldunkowej, trzeba spełnić dwa podstawowe warunki. Ulga meldunkowa to zwolnienie przysługujące podatnikom, którzy przed sprzedażą mieszkania lub domu (nabytych po 1 stycznia 2007 r.) byli w nim zameldowani na pobyt stały przez minimum 12 miesięcy. Warunkiem, który uprawnia do skorzystania z tego zwolnienia - a tym samym uniknięcia zapłaty 19-proc. PIT od transakcji zbycia nieruchomości - jest co do zasady złożenie w ciągu 14 dni od momentu sprzedaży oświadczenia o prawie do tej ulgi. Co do zasady, termin ten został na dwa lata wydłużony. O tym jednak za chwilę.
Wspomniane warunki przysporzyły wielu problemów interpretacyjnych, zwłaszcza w zakresie liczenia okresu zameldowania. Powstał bowiem dylemat, czy zameldowanie liczyć od momentu nabycia nieruchomości czy faktycznego zameldowania. Spór ten rozwiązały sądy administracyjne, a ostatecznie minister finansów w interpretacji z 19 lutego 2008 r. (nr DD2/033/0557/ SKT/07/1682), który potwierdził, że dla ulgi meldunkowej istotny jest moment zameldowania, a nie nabycia nieruchomości.
Dziś nie ma już wątpliwości, że określony w ustawie dwunastomiesięczny okres zameldowania odnosi się do daty zbycia nieruchomości. Żaden przepis prawa nie uzależnia też obowiązku zameldowania od posiadania tytułu własności do lokalu. Nie jest więc konieczne, by podatnik był właścicielem lokalu mieszkalnego przez cały wymagany okres zameldowania. Istotny jest tylko sam fakt zameldowania na pobyt stały w danym lokalu, natomiast istniejące stosunki własnościowe przypadające na okres 12 miesięcy pozostają bez wpływu na możliwość skorzystania ze zwolnienia.
Oznacza to, że podatnik, który przykładowo od urodzenia mieszkał w mieszkaniu rodziców, a 20 lutego 2008 r. stał się jego właścicielem, bo rodzice przekazali mu je w formie darowizny, już 21 lutego 2008 r. może sprzedać to mieszkanie, nie płacąc z tego tytułu podatku dochodowego.
Aby skorzystać z ulgi meldunkowej, trzeba zameldować się w sprzedawanym mieszkaniu lub domu. Meldunek musi być na pobyt stały, nie czasowy. To zaś oznacza, że trzeba będzie wymienić dowód osobisty.

Przed sprzedażą trzeba się wymeldować

Podatnik, który chce sprzedać mieszkanie, musi się z niego wymeldować przed sfinalizowaniem transakcji. Kupujący zazwyczaj żąda przedstawienia zaświadczenia z urzędu miasta lub gminy o wymeldowaniu. Takie praktyki nie wynikają z przepisów prawa, a raczej zwyczaju przy transakcjach związanych z obrotem nieruchomościami. Trudno się temu dziwić. Nikt nie chce kupić mieszkania czy domu z lokatorem. Meldunek to kategoria prawa administracyjnego i nie rodzi żadnych praw do lokalu. Jednak nabywcy dla pewności żądają wymeldowania właściciela ze sprzedawanego lokalu.
Warto zatem pamiętać, że ani data zameldowania, ani data wymeldowania nie powinny mieć już dziś znaczenia przy korzystaniu z ulgi meldunkowej, jeśli podatnik wykaże, że był zameldowany w zbywanym lokalu na pobyt stały przez okres nie krótszy niż 12 miesięcy przed datą zbycia lokalu. Co więcej, ani w ustawie o PIT, ani w opisywanej wcześniej interpretacji ministra finansów nie ma takiego sformułowania, które nakazywałoby, aby w momencie zbywania lokalu podatnik był zameldowany w tym lokalu. Natomiast musi on wykazać, że przed datą zbycia był zameldowany na okres 12 miesięcy w danym lokalu. I tak np. gdy podatnik zameldował się w nieruchomości 1 lutego 2002 r. i następnie wymeldował się 2 grudnia 2005 r., a następnie sprzedał to mieszkanie 15 maja 2007 r., to spełnił warunek zameldowania przez 12 miesięcy przed datą zbycia.
Warto jednak zauważyć, że jeżeli wymeldowanie nastąpi przed sprzedażą, okresu pomiędzy wymeldowaniem a sprzedażą nie liczy się do okresu uprawniającego do skorzystania z ulgi.

Podatnik musi złożyć oświadczenie w urzędzie

Sam fakt zameldowania to - jak już wspominałam - nie jedyny warunek uprawniający do skorzystania z ulgi. Wymóg złożenia w terminie oświadczenia o spełnieniu warunków do skorzystania ze zwolnienia jest obok zameldowania na pobyt stały w sprzedanym lokalu przez okres 12 miesięcy przed datą zbycia, warunkiem koniecznym do zastosowania omawianego zwolnienia. Zwolnienie ma zastosowanie do przychodów podatnika, który w terminie 14 dni od dnia dokonania odpłatnego zbycia nieruchomości lub prawa majątkowego złoży oświadczenie, że spełnia warunki do zwolnienia w urzędzie skarbowym, którym kieruje naczelnik urzędu skarbowego właściwy według miejsca zamieszkania podatnika.
Przepisy podatkowe nie przewidują jednak wzoru takiego oświadczenia. Wystarczy więc samodzielnie napisać pismo, w którym poinformujemy fiskusa, że przysługuje nam ulga meldunkowa. Trzeba pamiętać o zawarciu w nim też takich podstawowych informacji, jak imię, nazwisko, numer identyfikacji podatkowej. Do pisma warto dołączyć zaświadczenie z urzędu gminy lub miasta, od kiedy jesteśmy w zbywanym mieszkaniu zameldowani, albo kiedy (od kiedy do kiedy, czyli jakim okresie) byliśmy w nim zameldowani. Ma to potwierdzić dwunastomiesięczne zameldowanie.
Oświadczenie powinno być złożone, co do zasady, w ciągu 14 dni od dnia zbycia nieruchomości lub prawa. Jednak w związku z rozbieżnościami interpretacyjnymi, od kiedy liczyć zameldowanie - czy od momentu nabycia nieruchomości czy od faktycznego zameldowania - wiele osób straciło ulgę meldunkową. W wielu przypadkach utrata zwolnienia była wynikiem błędnej informacji udzielanej przez organy podatkowe, które stały na stanowisku, że meldunek potrzebny do ulgi liczy się od momentu nabycia nieruchomości. Dlatego minister finansów specjalnym rozporządzeniem wydłużył czas na złożenie oświadczenia.
Podatnicy, którzy zbyli nieruchomość lub prawo w 2007 roku i stracili ulgę meldunkową, bo nie złożyli w terminie 14 dni od dnia sprzedaży nieruchomości oświadczenia w urzędzie skarbowym, że przysługuje im prawo do tego zwolnienia podatkowego, mogli złożyć ten dokument do 30 kwietnia 2008 r. Natomiast podatnikom, którzy uzyskali przychody ze sprzedaży nieruchomości w 2008 roku, termin na złożenie oświadczenia zostaje przedłużony do 30 kwietnia 2009 r. Zasady takie wynikają z rozporządzenia ministra finansów z 2 kwietnia 2008 r. w sprawie przedłużenia terminu do złożenia oświadczenia o spełnieniu warunków do zwolnienia z PIT przychodów uzyskanych z odpłatnego zbycia nieruchomości i określonych praw majątkowych (Dz.U. nr 59, poz. 361).
Co więcej, w tych dwóch przypadkach podatnik, który złożył oświadczenie o prawie do ulgi meldunkowej po 14-dniowym terminie ustawowym, nie musi składać go po raz drugi. Z wyjaśnień Ministerstwa Finansów wynika bowiem, że w przypadku gdy podatnik złożył oświadczenie w okresie przed dniem wejścia w życie wspomnianego rozporządzenia (nie zachowując ustawowego 14-dniowego terminu), nie jest zobowiązany do ponownego złożenia oświadczenia oraz wyjaśnień.

Małżonkowie muszą meldować się wspólnie

Ulga meldunkowa ma zastosowanie łącznie do obojga małżonków. Przepisy jednak nie precyzują, w jaki sposób małżonkowie mogą skorzystać z ulgi. Możliwe są dwa sposoby rozumienia nowego przepisu. Pierwszy - mąż i żona muszą być zameldowani razem w jednym mieszkaniu przez co najmniej rok, aby przy jego sprzedaży nie zapłacić podatku. To wersja niekorzystna dla podatników. Druga możliwa interpretacja jest bardziej korzystna dla podatników - dla skorzystania z nowej ulgi meldunkowej przez małżonków wystarczy, aby tylko jedno z nich było zameldowane w mieszkaniu, które potem ma być sprzedane.
Ta druga interpretacja mogłaby dawać możliwości korzystnego, choć zgodnego z prawem, planowania podatków. Aby to lepiej zobrazować, przedstawmy przykład: małżonkowie kupili dwa mieszkania 2 stycznia 2007 r. Mąż melduje się w jednym, żona w drugim. Po 12 miesiącach, w lutym 2008 r., małżonkowie sprzedają oba mieszkania z zyskiem, ponieważ przez ten czas wzrosły ceny nieruchomości. Podatku dochodowego nie zapłacą, korzystając z nowej ulgi meldunkowej.
Jednak przepis napisany jest w sposób niejednoznaczny. Stąd najbezpieczniej jest kierować się interpretacjami podatkowymi wydawanymi przez izby skarbowe w imieniu ministra finansów. Te zaś stoją na stanowisku, że zgodnie z art. 21 ust. 22 ustawy o PIT, definiującym warunki, na jakich przysługuje ulga meldunkowa, zwolnienie ma zastosowanie łącznie do obojga małżonków. To zaś oznacza, iż w razie zbycia lokalu stanowiącego współwłasność obojga małżonków, każdy z nich jako odrębny podatnik uzyska dochód w wysokości połowy wartości prawa, a zatem kwestię zastosowania zwolnienia należy rozpatrywać odrębnie w stosunku do każdego z małżonków. Tym samym 12-miesięczny okres zameldowania na pobyt stały należy liczyć odrębnie dla każdego z nich (zob. np. pismo Izby Skarbowej w Warszawie nr IPPB2/415-309/08-2/AF).

Małżonkowie korzystają z ulgi proporcjonalnie

A zatem jeżeli tylko jeden z małżonków spełnia wymóg zameldowania przez 12 miesięcy przed datą zbycia mieszkania, to skorzystać z ulgi meldunkowej może tylko jeden małżonek.
Korzysta stosownie do swojego udziału w nieruchomości. W przypadku wspólności majątkowej małżeńskiej każdemu z małżonków przysługuje taki sam udział w nieruchomości. Może to zilustrować następujący przykład. Małżonkowie nie zawarli intercyzy. W styczniu 2007 r. kupili za 200 tys. zł dom. W domu zameldował się jednak tylko mąż. Żona zameldowana była w innym mieszkaniu (a można mieć tylko jedno stałe miejsce zameldowania). W czerwcu 2008 r. małżonkowie sprzedają dom za 400 tys. zł. Mąż spełnia warunki do ulgi mieszkaniowej. Był w domu zameldowany ponad 12 miesięcy. Złożył też wniosek o zwolnienie. Żona warunków umożliwiających skorzystanie ze zwolnienia nie spełnia. Nie była w domu zameldowana przez 12 miesięcy. W takim przypadku dochód ze sprzedaży domu wynosi 200 tys. zł. To przychód ze sprzedaży pomniejszony o koszty nabycia, przy założeniu że małżonkowie nie ponieśli dodatkowych kosztów związanych z tą sprzedażą. Skoro małżonkowie nie mieli podpisanej intercyzy, każdy z nich ma równy udział we własności sprzedawanej nieruchomości. Na każdego z małżonków przypada zatem połowa dochodu, tj. 100 tys. zł. Mąż może skorzystać ze zwolnienia, a zatem od swoich 100 tys. zł nie zapłaci podatku. Inaczej żona. Ona nie może skorzystać z ulgi mieszkaniowej. A zatem musi zapłacić 19 proc. podatku od swoich 100 tys. zł. Czyli 19 tys. zł.
Taki sposób rozumienia tych przepisów potwierdził WSA w Warszawie (sygn. akt III SA/Wa 1387/07), który uznał, że w przypadku gdy tylko jeden z małżonków był zameldowany przez 12 miesięcy przed datą zbycia nieruchomości, ze zwolnienia w PIT może skorzystać jedynie ten małżonek proporcjonalnie do części przychodu, która na niego przypada. Sąd w ustnym uzasadnieniu podkreślił, że wynika to z wykładni systemowej ustawy o PIT. Powołał się na art. 6 i 8 tej ustawy, zgodnie z którymi każdy z małżonków jest opodatkowany odrębnie. Co prawda współwłasność małżeńska jest niepodzielna. Wydaje się jednak, że przepisy podatkowe są w tym zakresie autonomiczne.
Identyczne zasady dotyczą także współwłaścicieli mieszkania i to zarówno wówczas, gdy współwłasność ta powstała np. w wyniku wspólnego zakupu nieruchomości, jak i wtedy gdy kilka osób stało się współwłaścicielami, np. w wyniku dziedziczenia (np. trójka dzieci odziedziczyła jeden dom). Możemy to zilustrować następującym przykładem. Czwórka dzieci dziedziczy w styczniu 2007 r. dom po ojcu razem z matką. Zgodnie z zasadami prawa spadkowego połowa spadku przypada ich matce. Druga połowa dziedziczona jest w równych częściach przez dzieci. Z tym że w domu zameldowana jest tylko matka i jedno z dzieci. Reszta nigdy w tym domu zameldowana nie była. Załóżmy, że dom był wart 400 tys. zł. Dziedziczeniu podlega jego połowa, czyli 200 tys. zł. Z tego 100 tys. zł przypada matce. Jej udział w wartości nieruchomości to 75 proc. Kolejne 100 tys. przypada dzieciom, które dostają po 25 tys. zł. Ich udział w wartości nieruchomości to 6,25 proc. W czerwcu 2008 r. rodzina postanawia dom sprzedać. Udało im się zrobić to za 800 tys. zł. Dochód całkowity na transakcji to 400 tys. zł. Matce przypada z tego 75 proc. czyli 300 tys. zł. Jednak z uwagi na to, że może ona skorzystać z ulgi meldunkowej, nie musi płacić podatku. Dzieciom przypada po 25 tys. zł. Jedno z dzieci podatku oczywiście nie zapłaci. To, które było zameldowane w domu od jego kupna do sprzedaży. Pozostała trójka zapłaci po 19 proc. od 25 tys. zł, czyli 6250 zł.
PRZYKŁAD: JAK LICZYĆ OKRES PIĘCIOLETNI PRZY SPRZEDAŻY NIERUCHOMOŚCI
W 1987 roku podatnik nabył udział w prawie własności do części nieruchomości gruntowej zabudowanej domem jednorodzinnym. Grunt stanowił przedmiot prawa współwłasności, a nie współużytkowania wieczystego. Posadowiony na tym gruncie dom, przebudowany i remontowany w latach 1987-1990, stanowił część składową nieruchomości, a nie był przedmiotem odrębnego od gruntu prawa własności. Na tej samej działce pobudowany został w 2001 roku drugi budynek mieszkalny. W 2006 roku podatnik sprzedał udziały we współwłasności tej nieruchomości gruntowej zabudowanej dwoma budynkami mieszkalnymi. Czy zbycie nieruchomości stanowi przychód podlegający opodatkowaniu 10-proc. zryczałtowanym podatkiem dochodowym od osób fizycznych?
Jednym ze źródeł przychodów wskazanych przez ustawodawcę w treści art. 10 ust. 1 pkt. 8 lit. a) i c) ustawy o PIT jest - z pewnymi zastrzeżeniami - odpłatne zbycie nieruchomości lub ich części oraz udziału w nieruchomości, jeżeli odpłatne zbycie nie następuje w wykonaniu działalności gospodarczej i zostało dokonane przed upływem pięciu lat, licząc od końca roku kalendarzowego, w którym nastąpiło nabycie.
Ustawa o podatku dochodowym od osób fizycznych nie zawiera definicji nieruchomości, sięgnąć więc należy do definicji nieruchomości zawartej w kodeksie cywilnym. I tak, nieruchomościami są części powierzchni ziemskiej stanowiące odrębny przedmiot własności (grunty), jak również budynki trwale z gruntem związane lub części takich budynków, jeżeli na mocy przepisów szczególnych stanowią odrębny od gruntu przedmiot własności.
Grunty stanowiące odrębny przedmiot własności są więc z natury swej nieruchomościami, budynki natomiast trwale z gruntem związane są częścią składową nieruchomości. Oznacza to, że własność nieruchomości gruntowej rozciąga się na budynki, wybudowane na tym gruncie. Budynek trwale związany z gruntem, jako część składowa gruntu, nie może być przedmiotem odrębnej własności. Dlatego sprzedaż nieruchomości obejmuje zarówno zbycie gruntu, jak i znajdującego się na nim budynku, trwale z nim związanego.
PRZYKŁAD: ZŁOŻENIE OŚWIADCZENIA O ULDZE MELDUNKOWEJ
Podatniczka w 2007 roku sprzedała mieszkanie. Mogła skorzystać z ulgi meldunkowej, bo od urodzenia była zameldowana w tym mieszkaniu. Jednak urząd skarbowy odmówił jej prawa do tej ulgi, więc złożyła PIT, wykazując w nim podatek od tej transakcji. Teraz chce złożyć oświadczenie o prawie do ulgi meldunkowej. Czy przygotowano do tego specjalny wzór?
Podatnik, który chce skorzystać z ulgi meldunkowej przy sprzedaży nieruchomości, musi złożyć oświadczenie, że spełnia warunki do tego zwolnienia. Termin ustawowy na dopełnienie tego obowiązku to 14 dni od momentu sprzedaży. Termin ten został jednak przedłużony do końca kwietnia 2008 r. Resort finansów nie opracował specjalnego wzoru takiego oświadczenia. Wystarczy więc, że podatnik napisał samodzielnie oświadczenie, że spełnia warunki do skorzystania z tej ulgi, bo był zameldowany w sprzedawanej nieruchomości przez dany okres (nie krótszy niż dwanaście miesięcy). Warto do takiego oświadczenia dołączyć np. zaświadczenie z urzędu gminy, kiedy podatnik zameldował się w danej nieruchomości.

Gruntu nie można wyłączyć z ulgi meldunkowej

Kolejny po małżonkach problem z ulgą meldunkową dotyczy kwestii, czy obejmuje ona grunt sprzedawany lub darowany razem z nieruchomością (tzn. np. gdy sprzedajemy dom razem z działką, na której stoi). Otóż organy podatkowe twierdzą, że ulga meldunkowa gruntu nie obejmuje.
- Sprzedaż gruntu związanego ze sprzedawaną nieruchomością lub udziału w tym gruncie podlega opodatkowaniu 19-proc. PIT. Sprzedaż gruntu nie jest objęta zakresem ulgi meldunkowej - uważa dyrektor Izby Skarbowej w Katowicach w interpretacji z 7 kwietnia 2008 r. (nr IBPB2/415-44/08/MM/KAN-100/01/08).
Stanowisko katowickiej izby skarbowej potwierdza Ministerstwo Finansów. Dlatego podobne interpretacje wydane zostały także przez inne ośrodki wydające interpretacje podatkowe w imieniu ministra finansów. I tak np. Izba Skarbowa w Warszawie stwierdziła (nr IPPB1/415-495/08-2/MO), że należy zaznaczyć, że zwolnieniem określonym w omawianym przepisie (dotyczącym ulgi meldunkowej - przyp. KG) objęty jest wyłącznie przychód ze sprzedaży lokalu mieszkalnego. Przychód ze sprzedaży gruntu związanego ze sprzedanym mieszkaniem lub udziału w tym gruncie podlega opodatkowaniu na zasadach określonych w art. 30c ww. ustawy (czyli 19-proc. podatkiem od dochodu - przyp. KG).
Dzieje się tak dlatego, że zwolnieniu w ramach ulgi meldunkowej, podlega jedynie odpłatne zbycie nieruchomości enumeratywnie wymienionych w odpowiednim przepisie ustawy o PIT i nie ma ono zastosowania do odpłatnego zbycia wieczystego użytkowania gruntu czy też samego gruntu. Przepis wyraźnie przewiduje bowiem, że pod pewnymi warunkami wolne od podatku dochodowego są przychody z odpłatnego zbycia: budynku mieszkalnego, jego części lub udziału w takim budynku; lokalu mieszkalnego stanowiącego odrębną nieruchomość lub udziału w takim lokalu; spółdzielczego własnościowego prawa do lokalu mieszkalnego lub udziału w takim prawie; prawa do domu jednorodzinnego w spółdzielni mieszkaniowej lub udziału w takim prawie - tłumaczy w innej swojej interpretacji Izba Skarbowa w Warszawie (nr IPPB2/415-366/08-2/AS).
Kłopot w tym, że sprzedaż nieruchomości - mieszkania lub domu - praktycznie zawsze następuje wraz z gruntem. Co więcej, często przy sprzedaży cena transakcji obejmuje grunt i nieruchomość mieszkalną. Nikt nie dokonuje osobnych wycen. To zaś oznacza, że grunt jest nierozerwalną częścią nieruchomości i nie można sztucznie wyłączać go spod ulgi meldunkowej, jeśli ta przysługuje dla sprzedawanej nieruchomości mieszkalnej. Dlatego z argumentacją organów podatkowych trudno się zgodzić.
Zauważmy, że przepis o uldze meldunkowej wymienia obiekty budowlane, w których podatnik może się meldować. Źródłem przychodów jest przychód ze zbycia nieruchomości lub jej części lub udziału w niej, a nie przychód ze zbycia gruntu i odrębnie budynku stojącego na tym gruncie. Natomiast stosując wykładnię katowickiej izby skarbowej, należałoby dojść do wniosku, że przychód ze sprzedaży nieruchomości mieszkalnej jest zawsze opodatkowany, ponieważ nie jest ona wymieniona w art. 21 ust. 1 pkt 126 ustawy o PIT.
Przypadający na dany lokal udział w gruncie jako prawo ściśle związane z własnością lokalu nie może być przedmiotem samodzielnego obrotu. Skoro jest to prawo ściśle związane z określonym lokalem i nie może być zbywane samodzielnie, to w konsekwencji oznacza to, że jeśli lokal podlega zwolnieniu z PIT, to również i prawo własności gruntu jako ściśle związane z danym lokalem powinno dzielić los prawnopodatkowy tego lokalu, czyli powinno podlegać zwolnieniu z opodatkowania. Nie można oddzielnie sprzedać domu, a oddzielnie działki, na której stoi dom. Co ważne, wartość samego gruntu nie jest odrębnie wyceniana w momencie zakupu nieruchomości (nie jest podawana w akcie notarialnym), a łączna cena określona w umowie sprzedaży (akcie notarialnym) uwzględnia zarówno wartość samego lokalu, jak również udział gruntu, na którym znajduje się ten lokal.

Od 2009 roku już bez ulgi meldunkowej

Z ostatnich informacji, wynika, że od początku 2009 roku nie będzie już ulgi meldunkowej, która ma zastosowanie przy sprzedaży nieruchomości. Jest już gotowa nowelizacja ustawy o podatku dochodowym od osób fizycznych, która taką zmianę wprowadzi. W zamian podatnicy dostaną ulgę, która obowiązywała do końca 2006 roku, choć w wersji zmodyfikowanej. Podatku z tytułu sprzedaży nieruchomości nie będzie trzeba płacić, gdy pieniądze uzyskane z tej sprzedaży podatnik w ciągu dwóch lat przeznaczy na inne cele mieszkaniowe. O takim przeznaczeniu środków oczywiście będzie trzeba poinformować fiskusa.
Cele mieszkaniowe zostaną ściśle wyliczone w ustawie o podatku dochodowym od osób fizycznych. Jak podkreśla resort finansów, konieczność likwidacji ulgi meldunkowej jest konsekwencją zapowiedzi zniesienia obowiązku meldunkowego. Nie jest wykluczone, że osoby, które nabędą nieruchomości do końca 2008 roku, a zatem przed zmianą przepisów, będą mogły korzystać z tej ulgi także po 1 stycznia 2009 r. w ramach tzw. praw nabytych.
PRZYKŁAD: JAK Z ULGI MELDUNKOWEJ SKORZYSTAJĄ MAŁŻONKOWIE
Podatnicy są małżonkami, między którymi istnieje wspólność majątkowa. W styczniu 2007 r. wspólnie nabyli nieruchomość - prawo odrębnej własności lokalu. Przedmiotowy lokal podatnicy zamierzają zbyć przed upływem pięciu lat, licząc od końca 2007 r. W lokalu będzie zameldowany jeden z małżonków na pobyt stały przez okres co najmniej 12 miesięcy przed datą zbycia. Podatnicy nie wiedzą, czy będą mogli skorzystać z ulgi meldunkowej.
Generalna zasada stanowi, że istnieje konieczność opodatkowania przychodów uzyskanych ze sprzedaży nieruchomości. Ustawodawca przewidział jednak kilka wyjątków. Jednym z nich jest zwolnienie z opodatkowania PIT przychodów uzyskanych z odpłatnego zbycia lokalu mieszkalnego stanowiącego odrębną nieruchomość lub udziału w takim prawie pod warunkiem stałego zameldowania przez okres co najmniej 12 miesięcy przed datą sprzedaży przez podatnika. Przepis ten wszedł w życie z dniem 1 stycznia 2007 r.
Rozpatrując kwestię zastosowania zwolnienia od podatku dochodowego przychodu z odpłatnego zbycia prawa odrębnej własności lokalu w budynku mieszkalnym stanowiącego współwłasność obojga małżonków, istotne znaczenie ma okoliczność, że podatnikiem podatku dochodowego od osób fizycznych z tego tytułu jest odrębnie każdy z małżonków, a nie małżonkowie łącznie.
Małżonkowie bowiem podlegają odrębnemu opodatkowaniu od osiąganych przez nich dochodów. W przypadku dochodów z odpłatnego zbycia nieruchomości nie znajduje zastosowania możliwość łącznego opodatkowania małżonków.
Skoro każdy z małżonków jest odrębnie podatnikiem podatku dochodowego od osób fizycznych z tytułu odpłatnego zbycia nieruchomości, to również warunki zastosowania ulgi meldunkowej należy rozpatrywać odrębnie dla każdego małżonka. Tym samym każdy z małżonków może skorzystać ze zwolnienia od podatku dochodowego, jeżeli spełnia warunki jego zastosowania. Oznacza to, że w celu zastosowania zwolnienia każdy z małżonków musi być zameldowany przez okres nie krótszy niż 12 miesięcy przed datą zbycia oraz w terminie 14 dni od dnia zbycia złożyć stosowne oświadczenie w urzędzie skarbowym o przysługującym prawie do ulgi.
Zatem przychód uzyskany ze zbycia prawa odrębnej własności lokalu w budynku mieszkalnym przy spełnieniu przesłanki zameldowania jednego z małżonków w przedmiotowym lokalu na pobyt stały przez okres co najmniej 12 miesięcy przed datą jego zbycia będzie podlegał zwolnieniu z opodatkowania podatkiem dochodowym od osób fizycznych tylko w części przypadającej na tego małżonka.
PRZYKŁAD: JAKI PIT OD SPRZEDAŻY DOMU OTRZYMANEGO W SPADKU
W październiku 2001 r. zmarł mąż podatniczki, pozostawiając niezabudowaną nieruchomość. Podatniczka oraz synowie są ustawowymi spadkobiercami. Postępowanie spadkowe zakończyło się w 2002 roku. W lutym 2007 r. nieruchomość została sprzedana. Podatniczka nie zapłaciła PIT od tej transakcji.
Postąpiła słusznie. Do przychodu z odpłatnego zbycia nieruchomości i praw majątkowych nabytych lub wybudowanych (oddanych do użytkowania) do dnia 31 grudnia 2006 r. stosuje się zasady określone w ustawie o PIT w brzmieniu obowiązującym przed 1 stycznia 2007 r. W stanie prawnym obowiązującym do 31 grudnia 2006 r. z art. 21 ust. 1 pkt. 32 lit. d) ustawy o PIT wynikało, że wolne od podatku dochodowego są przychody uzyskane ze sprzedaży nieruchomości i praw majątkowych w całości - jeżeli ich nabycie nastąpiło w drodze spadku lub darowizny.
W przypadku nabycia nieruchomości w drodze spadku za datę nabycia należy przyjąć chwilę śmierci spadkodawcy. Zgodnie bowiem z art. 924 i 925 kodeksu cywilnego spadek otwiera się z chwilą śmierci spadkodawcy, spadkobierca zaś nabywa spadek z chwilą otwarcia spadku. Zatem udział podatniczki w nieruchomości sprzedanej w 2007 roku mieści się w granicach udziału, który otrzymała w drodze spadku po zmarłym mężu. W konsekwencji, sprzedaż nieruchomości w 2007 roku nabytej w drodze spadku w 2001 roku skutkuje zwolnieniem od podatku uzyskanego ze sprzedaży.
PRZYKŁAD: JAK ROZLICZYĆ ZAMIANĘ NIERUCHOMOŚCI
Czy w przypadku zamiany nieruchomości w roku 2007 został osiągnięty dochód, jeśli tak, to w jaki sposób ustalić podstawę obliczenia podatku dochodowego od osób fizycznych? Wartość zbywanej nieruchomości wynosiła 47 417 zł, zaś koszty odpłatnego zbycia 46 417,10 zł (kwota zakupu nieruchomości), 1297 zł koszty notarialne związane z zakupem nieruchomości oraz 7305 zł koszty notarialne związane z umową zamiany.
Od dochodu z odpłatnego zbycia nieruchomości podatek dochodowy wynosi 19 proc. podstawy obliczania podatku, którą jest dochód stanowiący różnicę pomiędzy przychodem z odpłatnego zbycia nieruchomości a kosztami, powiększoną o sumę odpisów amortyzacyjnych dokonanych od zbywanych nieruchomości. W przypadku odpłatnego zbycia w drodze zamiany nieruchomości dochód ustala się u każdej ze stron umowy.
Dochodu z odpłatnego zbycia nieruchomości nie łączy się z dochodami (przychodami) z innych źródeł. Podatek płatny jest w terminie złożenia zeznania rocznego za rok podatkowy, w którym nastąpiło odpłatne zbycie nieruchomości.
Umowa zamiany nie jest umową nieodpłatną. Przychodem z odpłatnego zbycia w drodze zamiany nieruchomości u każdej ze stron umowy przenoszącej własność jest wartość nieruchomości, rzeczy lub prawa zbywanego w drodze zamiany. W opisanej sytuacji przychodem będzie wartość zbywanej działki, która wynosi 47 417 zł.
W naszym przypadku kosztami z tytułu zamiany nieruchomości będą koszty nabycia zamienianej nieruchomości według aktu notarialnego, tj. kwota 46 417,10 zł, powiększone o koszty notarialne zawarcia niniejszej umowy w kwocie 1297 zł oraz koszty notarialne przy zawarciu umowy zamiany poniesione w całości przez podatnika w kwocie 7305 zł. Łączne koszty uzyskania przychodu wynoszą 55 019,10 zł. Zatem w wyniku dokonanej transakcji zamiany nieruchomości nie uzyskano dochodu, a tym samym nie ma konieczności płacenia i wykazania podatku dochodowego od osób fizycznych w stosownym zeznaniu rocznym za rok 2007.
PRZYKŁAD: CZY MOŻNA SKORZYSTAĆ Z ULGI MELDUNKOWEJ, MAJĄC DWA MIESZKANIA
Posiadam na własność mieszkanie spółdzielcze. Otrzymałam drugie mieszkanie w spadku. Czy można posiadać na własność inną nieruchomość, a mimo to w otrzymanym w spadku mieszkaniu zameldować się na 12 miesięcy i uzyskać ulgę meldunkową?
Tak. Fakt posiadania innej nieruchomości mieszkalnej pozostaje bez wpływu na uprawnienie do skorzystania z ulgi meldunkowej. Przepis ustawy o podatku dochodowym od osób fizycznych określający warunki do skorzystania z ulgi meldunkowej nie zawiera w swojej treści żadnych dyspozycji co do ewentualnej niemożności skorzystania z ulgi w razie posiadania innej substancji mieszkaniowej. Jedynymi warunkami, jakie należy w tym przypadku spełnić, by uwolnić się od obowiązku zapłaty podatku, są: udokumentowanie co najmniej 12-miesięcznego okresu zameldowania w sprzedawanym budynku lub lokalu; złożenie w urzędzie skarbowym w ciągu 14 dni od dokonania sprzedaży zawiadomienia o spełnieniu warunków uprawniających do skorzystania z ulgi. Nakładanie na podatników innych warunków, których niespełnienie skutkowałoby utratą prawa do skorzystania z ulgi, wykraczałoby poza ustanowione regulacje prawne.